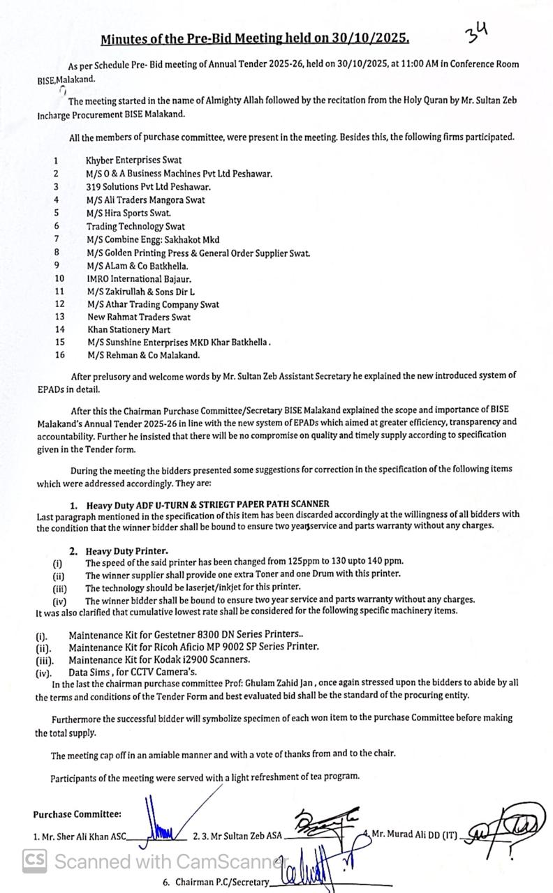
Minutes of the Pre-bid meeting held on 30-10-2025

Last updated: 05-Nov-2025,

HSSC ADMISSION 2026 NORMAL DATE EXTENDED TO 20TH FEB
Online Admissions for Private Students HSSC (11th/12th) 2026
Online Paper Re-totalling HSSC Annual-II 2025
Graduate and Postgraduate Candidates as Invigilation Staff Registration Form
Engagement of Graduate and Postgraduate Candidates as Invigilation Staff for SSC & HSSC Annual-I Exa
Press Release: HSSC Annual-II 2025 Result Announcement
Online Cheque Inquiry
TRIALS FOR NETBALL(GIRLs) TEAM: BISE MALAKAND, FOR SESSION 2025-2026
Recommendations for Inspection duty for the forth coming HSSC Annual-I Exam 2026
List of Stori da Khyber Pakhtunkwa Program HSSC Annual-I 2023 Examination (College Level)
List of Stori da Khyber Pakhtunkwa Program HSSC Annual-I 2023 Examination (College Level)
List of Stori da Khyber Pakhtunkwa Program HSSC Annual-I 2023 Examination (College Level)
Notification: SSC Annual-I 2026 admissions Normal Fee Date Extended to 23rd Jan 2026
Notification: Intermediate (HSSC) (Part-I & Part-II) Annual-I Examination 2026 Admissions Dates and
Recommendation of Supervisory Staff / Practical Examiners for SSC (Annual-I) Examination, 2026 via O
HSSC ADMISSION 2026 NORMAL DATE EXTENDED TO 20TH FEB
Online Paper Re-totalling HSSC Annual-II 2025
Result: Re-totalling SSC A-II 2024
Graduate and Postgraduate Candidates as Invigilation Staff Registration Form
Engagement of Graduate and Postgraduate Candidates as Invigilation Staff for SSC & HSSC Annual-I Exa
Press Release: HSSC Annual-II 2025 Result Announcement
Recommendations for Inspection duty for the forth coming HSSC Annual-I Exam 2026
List of Stori da Khyber Pakhtunkwa Program HSSC Annual-I 2023 Examination (College Level)
List of Stori da Khyber Pakhtunkwa Program HSSC Annual-I 2023 Examination (College Level)
List of Stori da Khyber Pakhtunkwa Program HSSC Annual-I 2023 Examination (College Level)
Notification: SSC Annual-I 2026 admissions Normal Fee Date Extended to 23rd Jan 2026
Notification: Intermediate (HSSC) (Part-I & Part-II) Annual-I Examination 2026 Admissions Dates and
Recommendation of Supervisory Staff / Practical Examiners for SSC (Annual-I) Examination, 2026 via O
Right to Public Services Commission Khyber Pakhtunkhwa
SSC Annual-II 2025 Results